Advantages of using High Modulus Polypropylen for gravity pipes
Pipes are getting larger and larger in diameter, but while plastic pipes are entering the huge market of concrete pipes, the main barrier is still the high price of the raw material. Some authorities still don´t accept and consider the importance of the advantages of a long life time and a sustainable pipe system, or they just don´t want to spend the money for the future of their country. So the question is how producers of plastic pipes made of High Modulus Polypropylene (PP-HM) can deal with this problem.
How can existing “conventional” pipe producers enter these markets with technically better products and very competitive prices? Today large sewage and drainage pipes are mainly produced with standard polyethylene or polypropylenes. Mostly, structured wall pipes are used for these applications according to international standards like:
DIN16961, EN13476, NBR7373,JIS, ASTM F894
Short term E-module (E) of different polyolefin materials (usually they can be used in normal single screw extruders):
- E(PE80) = 800 N/mm²
- E(PE100)=1000 N/mm²
- E(PP-HM, BorEco BA212 E) = 1700 N/mm² (a product made by Borouge and Borealis)
To make an easy calculation, we should start with reducing a solid wall thickness by increasing the E-modulus of the material (standard material can also have a higher short time E-modulus).
Technical / Theoretical approach
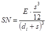
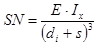
The formula to calculate the nominal stiffness according to ISO9969 is:
![]()
Legend:
SN= Stiffness Nominal in kN/m², according to ISO9969
E = short term E-modulus in N/mm²
Ix = moment of inertia in mm4/mm
s = wall thickness in mm
Di=internal diameter in mm
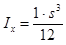
For a solid wall the moment of inertia (Ix) is
![]()
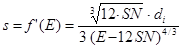
New Formula for Solid Wall pipes based on internal diameters:

Changing of the formula to find out the wall thickness:

As follows please find three diagrams for three different pipe diameters (DN800, DN1500, DN3000), which show the reduction of the pipe wall thickness by increasing the E-modulus. All pipes are designed for SN8 and solid wall. On the x-axis you find the E-modulus of the material in N/mm² and on the y-axis you find the pipe wall thickness in mm.
Wall-thickness-diagram DN800

Wall-thickness-diagram DN1500

Wall-thickness-diagram DN3000

Basically the upper mentioned diagrams are showing the formula s=f(E) which means pipe wall thickness as a function of the materials E-modulus, for a constant pipe diameter and constant stiffness.
To see the mathematical effect of increasing the E-modulus we did the first derivation:

In the diagrams it will look like this:
For DN800

For DN1500

For DN3000

In these diagrams you can see clearly, that the increase of the material`s E-modulus will have a reducing effect on the pipe-wall-thickness (s). The reduction of the effect will be reached earlier in smaller diameters. Further you can see clearly that the decreasing is getting flatter and flatter by increasing the E-modulus.
The question however is still if the output of the machine is the same? The density of the PP-material (0,94 kg/dm³) is a little lower than the standard PE (0,95 kg/dm³), so the output in kg/h will be lower (on a Krah-machine approx. 8%) . But due to the thinner necessary wall-thickness, the output in meter will be much more. (Usually the pipe producer of gravity pipes are selling pipes by meter not by kg)
Commercial Approach

Let´s assume a price of 1.470 USD/ton of PE100 and a price of 1.510 USD/ton for PP BorEco242 (Asian prices in Feb2012).
Output reduction of approx.: 8% (During test in Germany in August 2012, a pipe DN/ID900 with structured wall was produces with 760 kg/hr).
Raw material price increase of approx. 10% (in average the material costs are 70% of the total costs)
Weight reduction: 17 % per meter of pipe, for the same stiffness class.
The effect on structured wall pipes:
As an average the weight of a solid wall pipe can be reduced by approx. 40% to 60% compared to a solid wall pipe with the same stiffness, so the pipe weight for a structured-wall pipe will be reduced again and the effect of using a higher E-modulus is even higher.
Don’t forget the waterway wall thickness:
After all the positive effects of reducing the pipe weight, the minimum waterway wall thickness should be always highly considered. According to different international standards a minimum wall thickness should be given, because basically the waterway wall is the real pipe, the stiffness issue is done after complete settlement of the soil.
Result:
For large pipe diameters the usage of High Modulus Polypropylene like BorECO BA212 E can make a lot of sense, because the end product can reach attractive market prices with an absolutely good, sustainable high quality. Also a welded joint (butt-welding, E-Fusion and Extrusion welding) is possible, especially in large diameter.
However, please consider this as a theoretical approach which should be proven by practical stiffness test, according to ISO 9969.
For more details: please contact: This email address is being protected from spambots. You need JavaScript enabled to view it.
