Why should you design, use and produce KRAH Pipe System for pressure- and gravity applications?
1. Problems in existing sewage pipe lines
The Krah Pipe System has been designed to solve the major pipe failures in existing pipelines. According to a German study made by ATV the failures were divided into several sub-failures. But always the result was infiltration and exfiltration and the maintenance /repair costs are very high. As follows you will see here some photos of failures would NOT have happened, if the system was done with Krah-Pipes.
![]() |
![]() |
![]() |
![]() |
In the todays design and choice of the products the later maintenance costs should be considered, so that the running costs will be low in the future.

2. Gravity (up to 2bar) and Pressure Pipe System
Basically one production line of Krah can produce Krah gravity pipe system and also Krah pressure pipes with the same technology and same extrusion unit, by using a Comtruder®. The main difference between the two product applications is that the gravity pipe system is designed for high pipe stiffness to withstand an external load and the pressure pipe system a high internal pressure.
The Krah gravity pipes are produced with a structured (profiled) wall and they can be manufactured with a filler material, like calcium carbonate.
The pressure pipes are produced out of a compound (based on high density polyethylene and glass fiber) with a homogeneous solid wall.
An advantage of the Krah pipe system is the end finish of the pipes. Every pipe can be produced directly with an integrated socket and spigot or every end design which is available on today´s market.
The pipes can be produced to meet the following standards:
Gravity pipes:
- DIN16961
- EN13476
- ASTM F894
- NBR7373
- JIS_K6780
Pressure pipes:
- ASTM F2720
- DIN/SPEC 19674
- ISO/CD 29561
3. Material
Basically the following thermoplastic materials can be used
for gravity pipe application:
- Polyethylene (PE80 or PE100)
- Polypropylene (PP-R, PP-B or PP-H)
- Polypropylene with high stiffness (PPB-HM)
- Polyethylene or Polypropylene filled with calcium carbonate
Pressure pipes are produced out of:
- Polyethylene (PE80 or PE100)
- PE100/fiber-compound (PE-GF)
4. Wide product range
Beside the pipes with an internal diameter of DN 300 to DN 3.500 (for special applications also pipes up to DN4000 mm can be produced) the product range include all kinds of fittings, such as branches, bends and reductions as well as different types manholes, such as standard and tangential manholes with the adequate covers. Also included are special constructions like house connections and puddle flanges. All of these mentioned products are made out of solid wall Krah Pipes, therefore being an advantage for the jointing of the parts. The complete calculation and production technology can be provided by Krah as a one-stop-solution.

5. No-Stock-Production
The production can be organized according to existing orders, because the setup time for a product change is very short (between 5-15min). So no big investment in a pipe stock is needed. The production technology follows the batch-production-principle.

6. Tailor made pipes and fittings
Beside the standard stiffness (with a weight optimized structured wall) and pressure classes, tailor made pipes and fitting for all different requirements and applications for individual projects can be manufactured. By customizing the pipe products (especially in large pipe sizes and low quantities) the cost reduction effect is very high with the Krah-technology, because nearly every wall and material construction can be done.
So, no over-designing is needed, but the product will fit to the project as good as possible.
Detailed engineering and commercialization software is available.
![]() |
![]() |
7. Tailor made pressure rating
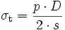
By using the Krah compound for pressure pipes, the minimum required strength (MRS) of the materials is 20 N/mm². This is the minimum value of creep strength at a 50 year reference time and a temperature of 20°C.
The safety factor (SF) is the ratio between the creep strength σc at given time and temperature and at a constant working stress σo and for fresh / drinking water application
SF is 1.6.
Under internal pressure the pipe is subject to hoop stress on pipe wall.
p = inner pressure
D = medium diameter
s = wall thickness
σt = hoop stress
The calculated wall thickness can be produced with the Krah machine for every mandrel diameter. Actual limits in the wall thickness are 4mm (minimum) and 200 mm (maximum).
The main components of the PE-GF compound are:
20 % chopped class fiber
2 % bonding agent
78 % polyethylene high density
8. Life Time
Life expectancy is conservatively estimated to be at least 100 years, using the standard design basis, compared to conventional pipe materials that often only have a life expectancy of about 10 – 20 years.
Due to the special jointing method of Krah pipes with electro-fusion welding or extrusion welding, also the joints have a lifetime of 100 years.
Consequently the depreciation period becomes longer through the long lifetime of the piping and therefore the yearly depreciation rate becomes lower, which is another important economic advantage.
9. Pipe weight
The weight of Krah Pipes is one of the major advantages compared to conventional pipe materials, being determined with:
0,955 kg/m³ for polyethylene gravity pipes.
0,905 kg/m³ for polypropylene gravity pipes
1,140 kg/m³ for polyethylene gravity pipes, filled with 25% CaCo3
This extremely low weight therefore allows a much easier and quicker installation of the pipes, as in most cases no heavy machinery is necessary for the installation and handling of the pipes. Most of the handling can be done by a usual excavator on site.
10. Homogenous piping
All Krah pipes and fittings are made of the same material and joined to one homogenous pipeline. Not even the connections between the components (like pipe and fittings) pose a weak point of the piping as they are joined by the electro-fusion method and therefore becoming a 100 % permanent tight joint. Due the welding ability of the material, repairing of the Krah pipe system is easy and will set back the repaired part into its original condition.
11. Flexibility
Burried pipe systems are subject to different and changing stresses. Sewer pipes are still in use, which have been installed over 80 years ago. Traffic and earth loads, affecting the system at that time can no longer be compared with today’s concentration of traffic and superstructures. Loads that will influence pipelines in 50 years can only be estimated.
Therefore, it is very important to develop pipe systems which will adapt to the future stresses and will not break down under these loads.
So, why should not a pipe be used that gives way to the loads by deforming up to the point where the loads are minimized?
Flexible pipe systems allow the tensions within the material to be reduced. The danger of overstraining and thus of a fracture is eliminated. When the load decreases, the KRAH pipe can reach its new lowest-stress shape due to its elasticity. KRAH pipes have integrated deflection zones.
→ Flexibility can be equalized with resistance against overloading.
Due to its flexibility the pipe can also be bent to a certain extent so that some fittings needed for rigid systems can be saved. The recommended Bending radius is
for Krah sewer pipes: for Krah pressure pipes:
r = 30 · DN/ID r = 100 · DN/ID
Because of the spiral-wall-construction the pipe is flexible and still has an axial flexibility – which is very helpful for good and quick installation of sewage pipes, by considering the spring line.
![]() |
![]() |
12. Earthquake resistance
Even in areas, which are highly affected by earthquakes, Krah pipes are hardly damaged in comparison to pipes made of other materials.
The flexibility of the PE-material allows a deformation without breaks or leakage.
More detailed information on the results of earthquakes and Krah pipe system is available.
13. Minimum (waterway) wall thickness
In comparison with most of the other pipe materials, it is possible to produce comparatively low-weight pipes with the Krah System, which at the same time satisfies all today’s requirements for sewage piping.
However the pipe shall not only have the right stiffness needed for bearing the load of the soil and the traffic while installed but pipes also suffer multiple strains during transport, storage, installation operation and cleaning. Therefore, the pipe’s waterway has to have a certain minimum wall thickness to bear all of these different strains. For the evaluation of the minimum waterway wall thickness different approaches were considered, taking into account all affecting factors, such as internal and external pressure, mechanical abrasion and penetration from the outside. Summing up all these impacts the minimum wall thickness of the waterway of profiled pipes can be calculated. A good proper waterway wall will give the pipe better properties for a long life time and can be used for hydro-jet cleaning without any common problems, like losing the water way wall.
Beside the profile that gives the required stiffness to Krah Pipes they also have a minimum wall thickness of the waterway in order to sustain all other strains the pipes are exposed to.
In case of low internal working pressure the waterway wall thickness can be adjusted according to this.
14. Support from the soil’s carrying capacity
Rigid pipes have to bear the full carrying capacity of the earth loads. In case of Krah pipes, all loads are carried by the interaction of the flexible pipe and the compressed soil. By lowering the pipe crown, the load concentration above the pipe decreases. As a result of this “wanted” deformation, the spring line will be moved outwards. An additional bedding pressure sets itself, supporting the pipe laterally. The loads are balanced around the pipe by the deformation. For that reason, Krah pipes can also be used for big loads, without losing the advantages of its light weight features.
Since the pipelines are profiled on the outside, these profiles can fix the pipes in the soil. There will be no or very few axial extensions in the pipeline. Therefore, Krah pipes are nearly unaffected by temperature variations.
15. Inspection friendly
The bright colored inner surface is produced by co-extrusion, therefore being simultaneously extruded with the black outer surface. This bright color of the inner surface enhances the inspection of the piping. This co-extruded inner surface can also be done with an electro conductive material.

16. Long laying length
Krah pipes have an installation length of 6 meters plus the integrated socket. Some other pipes out of conventional materials have shorter lengths and therefore need more connections.
→ The installation of Krah pipes hence are less time-consuming.
If needed pipes can be pre-welded and can supplied in length of 12, 18, 24 or 30 m.
![]() |
![]() |
17. Long term hydrostatic strength
One of the outstanding engineering characteristics of Krah Pipes is their long term hydrostatic strength behavior under various thermal and environmental conditions.
18. Abrasion behavior
Krah Pipes are among the most abrasion proven pipes. This was tested in the so-called Darmstadt procedure and results are shown in the below diagram and confirm the quality of polyethylene pipes. Tests are performed at the “Süddeutsche Kunststoffzentrum” for its approval. It clearly shows that Krah Pipes made out of PE are in comparison with the other materials by far amongst the most abrasion resistant ones.
Abrasion resistance is especially important nowadays, where more and more solids are transported in the sewage.
19. Roughness
From a superior point of view the operational roughness value in ATV worksheet A 110 for all pipe materials, including plastic pipes, the losses resulting of wall roughness are determined uniformly with k = 0,1 mm. Although, the natural wall roughness value of plastic pipes, which, according to all present experience are lower than those of the other pipe materials and also remain permanently steady, would have justified a better classification. The hydraulic dimensioning with the recommended global roughness therefore contains a sufficient safety margin for pipelines of plastic.1
The absolute roughness of plastic is between 0,0015 [mm] and 0,1 [m]2.
→ Due to this low roughness there is almost no accumulation on the pipe bottom for Krah pipes
→ Krah Pipes have the ability of “self-purification” (self-cleaning).
→ Low roughness has an important economic advantage as the maintenance expenditures are reduced to a minimum.
In consequence of the low roughness the hydraulic properties are improved and smaller diameters are required compared to conventional pipe materials with the same flow rate.
20. Hydraulic capacity (DN/ID)
The advantageous hydraulic properties of pipelines made of plastic pipes are considerably and effectively supported by the laying length and associated low quantity of pipe joints as well as well-formed fittings, which are therefore flow-beneficial.
Krah Pipes have excellent flow characteristics, especially compared to conventional materials. The nominal diameter is the inner diameter (DN/ID) and hydraulic properties of Krah pipes will remain constant regardless of the wall thickness, due to the smooth anti-adhesive inner pipe surface. The nominal diameter always corresponds to the respective inner diameter according to DIN 16961.
Pipes with different pressure ratings or stiffness classes can be jointed easily.
21. Chemical corrosion resistance
Krah Pipes are highly resistant against aggressive chemical environments. Further it is externally resistant to aggressive soil (PH- value 1.0 - 5.0).
→ Krah Pipes are resistant externally and internally against aggressive chemicals.
Polyolefins have a non-polar molecule structure because they contain no double bonds. They also have a high molecular weight and therefore excellent resistance to chemicals and other media.
So, Krah Pipes are resistant to aqueous solutions of salts, dilute acids and alkalis. Electrochemical processes, which can lead to corrosion in metals, do not take place in Krah Pipes. Only strong oxidizing agents, such as highly concentrated peroxides and acids, or halogens attack Krah Pipes over a prolonged period of time.
Especially concrete and steel pipes are very vulnerable to the aforementioned corrosive agents resulting in significant damages and failures of the system, whereas Krah Profiled Pipes are resistant from the inside and the outside.
22. UV-resistance
Commonly most natural materials and other plastics are degraded by weathering effects, particularly by the combined impact of short- wave ultraviolet radiation in sunlight and atmospheric oxygen.
→ Black polyethylene pipes are permanently resistant to atmospheric corrosion and UV radiation. Thus the pipes can be used and stored outside pwithout the pipe material being damaged.
23. Resistance to micro organisms, rodents and termites
The smooth round surface of plastic pipes does not give the teeth of rodent’s sufficient hold to cause damage. Moreover, even in termite-affected countries no damage to pipelines made out of polyethylene by termites has ever been occurred. Polyethylene and polypropylene are not nutrient media for bacteria, fungi and spores.
→ The material of Krah pipes is resistant to all forms of microbial attack as well as both sulphurous acid and sulphates.
→ Assessments under food legislation:
Krah Profiled Pipes are suitable for the transportation of mineral water. They have no tainting
effect (“Extended quality test for mineral water compatibility”, Institute Fresenius,
Taunusstein, Germany.)
24. Jointing of Krah Pipes
Krah Pipes suit any kind of pipe connections, due to the properties of HDPE. All Krah pipes and fittings can be delivered with different joint systems, mainly determined on the basis of the application. The pipe ends are equipped accordingly and integrated directly in the pipe.
Basically, pipes and fittings made from polyethylene can be joined either by thermal or by mechanical systems and of course by electro-fusion. The most common method in the market for years has been electro-fusion, being the most favorable, simple and secure jointing technique.
![]() |
![]() |
![]() |
![]() |
25. Integrated Electro-Fusion
KRAH has developed this technique also for large pipes. With this method the whole pipeline becomes a homogenous system and absolutely safe against wanted and unwanted in- and ex-filtrations.
A welding wire is included in the socket and then heated with the help of a special welding device, joining the two pipe ends (socket and spigot) together.
With this very quick jointing technique it is possible to install pipes in such a short period of time which has never been realized before. Also the necessary recording for quality assurance is realizable very easily and secure with the help of KRAH welding devices.
Generally the method of electro-fusion jointing has many advantages compared to other conventional systems. First of all, it is applicable for all diameters, small and large, with only one device and is available for a reasonable price.
Further advantages are the short fusion time, installation in narrow trenches as no heavy, large equipment is needed and a fast installation of the piping by using several fusion devices at the same time can be carried out. The finished connection then is a 100 % permanent tight joint. Moreover, the fusion is possible from the inside when installing larger diameters. A welding record is printed and the electro-fusion device can be used again immediately, even when the pipe is still cooling.
Due to this connection method the piping becomes one homogenous piece that is adaptable to changes of the surrounding soil.
The electro fusion process is widely accepted these days, especially because of the relatively simple process and that this process is closely followed and monitored by well developed control boxes, virtually eradicating human error. The reliability of the electro fusion process is also shown by using it in the early days of gas and water distribution systems.
![]() |
![]() |
![]() |
26. Main application
Due the manifold pipe and product possibilities the application field is huge and an investment in the production technology will be not build on one sales market. The main fields are:
![]() |
![]() |
![]() |
|
|
|
|
![]() |
|
![]() |
![]() |
|
|
|
Summary:
The Krah-Pipe-System is a very feasible pipe technology for high quality products to be used under and above ground.
The system properties overcome all the existing pipe failures in the market. Today´s needs for a sustainable infrastructure pipe system can be fulfilled by Krah pipes on a high economical aspect.
The design is easy, extensive design software is available or can be done by the standard design guidelines.
The pipe system considers all components and different jointing possibilities. The complete range of large diameters is available and can be supplied by one Krah pipe producer.


























