Water hammer and how PE pipes react
For designing a pressure pipeline all pressure load phases must be considered and in reference to the loading time be evaluated. Besides the test-pressure, the maximum operation pressure (MOP) and also the water hammer effect have to be considered and implemented in the static design! This procedure is valid for all pressure pipe materials and systems, but flexible pipe materials provide some advantages.
What is a water hammer?
A water hammer is a pressure surge or wave caused when a fluid in motion is forced to stop or change direction suddenly. A water hammer commonly occurs when a valve closes suddenly at the end of a pipeline system, and a pressure wave propagates in the pipe. This pressure wave can cause major problems, from noise and vibration to pipe collapse. But it is possible to reduce the effects of the water hammer pulses with bypasses, expansion tanks, surge tanks, blowoff valves and other features. Rough calculations can be made e.g. by using the Zhukovsky equation, also known as Joukowsky equation.
How do Polyethylene pipes react?
Polyethylene is a flexible material and provides a kind of damping effect to short-term peak loads like they happen due to water hammer. The effect of water hammer is reduced by this flexible behaviour.
Photo 1: Krah pressure pipe, spiral wound acc. to DIN 16961. Source: UGPM, Sultanate Oman
The more flexible a pipe, the lower the loads by water hammer!
In contrast: The stiffer the pipe-material, the higher the pressure peak by water hammer!
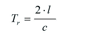
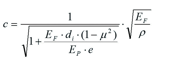
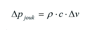
| Joukowsky equation: | Caption: |
![]() ![]() |
c = pressure wave velocity [m/s]µ = Posson’s Ratio [-]di = Inner diameter [mm]e = Wall thickness [mm]EP = Flexural Modulus Pipe Material under surge load [Pa]EF = Compression Modulus Fluid [Pa] (Water = 2,1 x 109 MPa) ρ = Density of Fluid [kg/m³]pJouk = theoretical pressure difference [Par] ∆ν = velocity difference of flow [m/s] |

click to enlarge
The above mentioned results based on the Joukowsky equation and valid for the time period where the velocity of the flow is changing, for a time lower than the reflection time Tr of the wave and for typical friction-situations of water-supply-systems.

So far the time for the change of flow is bigger than the reflection time, the peak is concentrated to the point of actuator and will decrease until the end of the line. For thermoplastic pipes (e.g. Krah pipes) the creep behaviour of the material has to be considered. The short term strength, what is decisive for water hammer load capacity, is much higher than the long term design strength. That is another big advantage of thermoplastic pipes!
In general, such equations like the Joukowsky equation are fine for rough calculation, but for design and detailed planning of course a complex calculation with computer-simulations are recommended and indispensable.
Another important point is, that also an abruptly shut down of a pump can be responsible for surges and by this also underpressure can occur after the pump. Flywheels and the increase of centrifugal mass can be used successfully as safety device against water hammer. But in each case it is recommended to investigate the short term vacuum stability of the pipes. For thermoplastic pipes a very efficient way to increase the stiffness and vacuum stability is to add an additional profile to the solid wall.
Photo 2: Profiled pressure pipe, spiral wound acc. to DIN 16961, produced on a Krah machine at UGPM, Sultanate Oman |
click to enlarge |
On this way the moment of inertia of the structured wall increases significantly and the vacuum stability as well. By using the helical extrusion technology (Krah production procedure) the design can be made tailormade and guarantees the possibility of perfect inner pressure capacity (solid wall) and buckling load capacity!
Authors:
Mohammed Al Hashani
UGPM Co. LLC, Sultanate Oman
Dipl.-Ing. Stephan Füllgrabe
Plaspitec GmbH, Germany




